您的位置: > 精益岩土网  >  基坑支护案例  >  基坑对撑的弹性支点的刚度系数kR
 

基坑对撑的弹性支点的刚度系数kR

作者:王明珉     2023年4月9日 22:23      转载请注明来自精益岩土网

基坑对撑是指在基坑开挖过程中,为了保证基坑的稳定性和安全性,采用各种支护措施,如钢支撑、混凝土支撑、锚杆支护等,以保证基坑的稳定和安全。

基坑支护钢管对撑

基坑支护钢管对撑

《建筑基坑支护技术规程》JGJ120-2012第4.1.10条指出:支撑式支挡结构的弹性支点刚度系数宜通过对内支撑结构整体进行线弹性结构分析得出的支点力与水平位移的关系确定。对水平对撑,当支撑腰梁或冠梁的挠度可忽略不计时,计算宽度内弹性支点刚度系数可按规程式4.1.10计算。

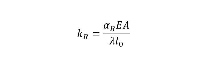
对水平对撑,挡支撑腰梁或冠梁的挠度可忽略不计时,弹性支点刚度系数kR可按下列公式计算:

kR=(αR·E·A)/(λ·l0)

弹性支点刚度系数kR

弹性支点刚度系数kR

式中:

kR——单根支撑弹性支点刚度系数;

λ——支撑不动点调整系数:支撑两对边基坑的土性、深度、周边荷载等条件相近,且分层对称开挖时,取λ=0.5;支撑两对边基坑的土性、深度、周边荷载等条件或开挖时间有差异时,对土压力较大或先开挖的一侧,取λ=0.5~1.0,且差异大时取大值,反之取小值;对土压力较小或后开挖的一侧,取(1-λ);当基坑一侧取λ=1时,基坑另一侧应按固定支座考虑;对竖向斜撑构件,取λ=1;

αR——支撑松弛系数,对混凝土支撑和预加轴向压力的钢支撑,取αR=1.0;对不预加支撑轴向压力的钢支撑,取αR=0.8~1.0;

E——支撑材料的弹性模量(MPa);一般钢材的弹性模量是206000MPa;

A——支撑的界面面积(m2);

l0——受压支撑构件的长度(m)。